运放-【设计】二级运放设计-二阶系统+copy_waizard
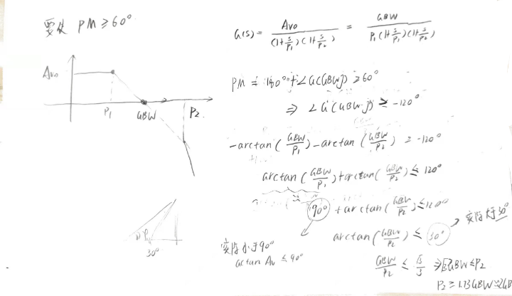
一、多极点系统处理目的:理解多极点的近似处理为双极点系统,对单极点系统相位裕度近似为90,对两级系统,当两个极点很近似的时候考虑采用米勒补偿。当极点与GBW大于2倍,系统相位裕度为60-70。...
·
一、多极点系统稳定性处理
1.近似处理
目的:理解多极点的近似处理为双极点系统,对单极点系统相位裕度近似为90,对两级系统,当两个极点很近似的时候考虑采用米勒补偿。当极点与GBW大于2倍,系统相位裕度为60-70。



2. 稳定性与速度的制衡
(LHP)-过阻尼系统,临界阻尼系统
目的:极点系统,较小频率校表现为容抗,较大频率表现为阻抗。
极点由LHP,RHP两类。一般LHP左平面。
理解:单纯的开环系统级联只会出现单纯的多级点系统,可简化为过阻尼和临界阻尼的二阶系统的情况。且次极点对系统的相位裕度影响是很大的。 





3.欠阻尼系统
分析:电路中一般物理分析不能产生欠阻尼系统,只有在单位反馈作用下,会产生两个LHP平面的虚数极点。此时系统稳定性与速度均由其所限制。
二、RHP零点的分析
要求:分析RHP零点产生的真正原因,前馈对其的影响。
目的:要求使用matlab对非最小相位系统的零极点的Bode图的相位裕度进行分析。





例 设计实例







更多推荐




所有评论(0)