【论文知识点笔记】An adaptive self-guided wavelet convolutional neural network(小波变换+亚像素卷积+分组卷积+注意力+复合损失)
【论文知识点笔记】An adaptive self-guided wavelet convolutional neural network(小波变换+亚像素卷积+分组卷积+注意力+复合损失)
An adaptive self-guided wavelet convolutional neural network with compound loss for low-dose CT denoising(小波变换+亚像素卷+分组卷积+注意力)
发布期刊:http://www.letpub.com.cn/index.php?journalid=1175&page=journalapp&view=detail
一、摘要
-
计算机断层扫描 (CT) 是一种广泛用于临床、工业和其他应用的成像方法。此外,它是现代临床医学影像诊断的常用方法之一。但是,CT扫描中过多的辐射剂量会对人体造成伤害。降低辐射剂量会导致重建图像质量严重下降,产生散斑噪声和条纹伪影,影响临床医学诊断的准确性。为了在降低 CT 辐射剂量的同时获得高质量的图像,我们提出了一种自适应自导小波卷积神经网络 (ASWCNN) 将低剂量 CT (LDCT) 图像转换为正常剂量 CT (NDCT) 图像,如可能的。在我们的 ASWCNN 中,结合小波变换和亚像素卷积,提出了一种自上而下的自引导结构作为网络的整体架构。提出了一种可调整的金字塔残差块(APRB)来自适应提取多尺度和多样性的信息特征,因为图像分辨率随着网络的降低而降低。提出了相邻尺度信息融合块(ASIFB),逐步融合相邻尺度之间的信息特征,提高网络训练的稳定性。同时,我们使用跨纬度混合注意力块(CMAB)作为我们网络的特征增强块来增强融合的特征信息,增强有效信息并抑制无用信息。此外,我们提出了校正重建块 (CRB) 以减少获得的去噪 CT 图像与给定的 NDCT 图像之间的差距。最后,我们将像素级损失、结构感知损失和梯度损失相结合的复合损失作为我们的损失函数。实验结果表明,我们提出的方法可以有效地保留CT图像的结构和纹理信息,同时去除噪声和伪影。同时,与其他方法相比,获得了更好的主观视觉评价和客观定量评价,网络泛化能力好。
-
源代码暂无。
二、介绍
- 介绍了CT成像的背景及相关技术
- 介绍了一些CT重建及去噪的算法
- 介绍了其他人如何解决CT重建图像的质量
- 引出本文:虽然深度学习在 LDCT 图像重建方面做了一些工作,区分了噪声点和焦点特征在形成中的区别。如何有效地设计深度模型,充分提取图像的特征信息,在去除图像噪声的同时有效保留病灶的结构特征,还原图像的细节信息,仍然是一个值得研究的问题。 LDCT图像结合空间域数据去噪已被证明是有效的,可以更好地分离噪声信息和内容信息。近年来,人们提出了多种信号分解技术来获取空间域数据[20,21]。由于其可逆性,DWT 可以保证在下采样过程中获得无损的特征信息。此外,DWT可以有效地捕捉特征图的频率和位置信息,有助于保留细节纹理,因此被广泛用于获取空间域数据。总之,我们提出了一种用于 LDCT 去噪的自适应自导小波卷积神经网络 (ASWCNN) 来解决这些问题。
三、创新点
- 提出了一种用于LDCT去噪的自适应自导小波卷积神经网络(ASWCNN),它逐渐学习退化的输入特征信息,从而将整个去噪过程分解为更易于管理的步骤。在去除噪声的同时,可以保留病变的结构细节。
- 提出了可调金字塔残差块(APRB)来自适应提取不同尺度和层次的特征信息。
- 提出相邻尺度信息融合块(ASIFB),逐步融合相邻尺度的特征信息,消除不同尺度特征信息之间的语义鸿沟,便于多尺度信息从早期到晚期的传递,提高了训练的稳定性。
- 提出跨纬度混合注意力块(CMAB),建立通道维度和空间维度之间的相互依赖关系,增强相邻尺度融合后的特征信息,抑制无用信息,使特征进一步传输更丰富。
- 提出了一种校正重建块(CRB),用于提取和学习不同尺度和层次的特征信息融合,并对融合后的特征信息进行引导和校正。同时,利用跳转连接引入低层特征信息,更好地生成去噪CT图像。
- 我们设计了一个复合损失函数来约束我们网络的生成结果,减少生成图像与目标图像之间的差距,进一步提高重建图像的质量。
四、方法
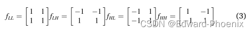
1、二维图像Haar小波变换
对于二维图像Haar变换不再从一个方向进行滤波,而是从水平和竖直两个方向进行低通和高通滤波(水平和竖直先后不影响),用图像表述如图2所示:图2中a表示原图,图b表示经过一级小波变换的结果,h1 表示水平反向的细节,v1 表示竖直方向的细节,c1表示对角线方向的细节,b表示下2采样的图像。图c中表示继续进行Haar小波变换。一级Haar小波变换实际效果如图所示。



2、亚像素卷积
Sub-pixel convolution是一种巧妙的图像及特征图upscale的方法,又叫做pixel shuffle(像素洗牌)。我们知道,用深度学习处理图像的话,经常需要对特征图放大。常见的方法有直接上采样,双线性插值,反卷积等等。本文主要介绍一种在超分辨率中经常使用的upscale方法——sub-pixel convolution。
具体细节
3、分组卷积


4、GAP和GMP

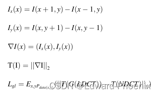
5、复合损失(像素损失+感知损失+梯度损失)
三个损失权重分别是:1,0.84,0.16

参考:https://blog.csdn.net/qq_34706871/article/details/105665002
6、评估指标(PSNR+SSIM+RMSE)
参考:图像质量评估指标:PSNR(峰值信噪比) / SSIM(结构相似度) 原理及Python代码
参考:RMSE(均方根误差)、MSE(均方误差)、MAE(平均绝对误差)、SD(标准差)
五、网络结构
1、Sub-pixel Convolution

2、APRB

3、CMAB

4、ASWCNN

六、结果



更多推荐




所有评论(0)