在这里插入图片描述

在这里插入图片描述

在这里插入图片描述

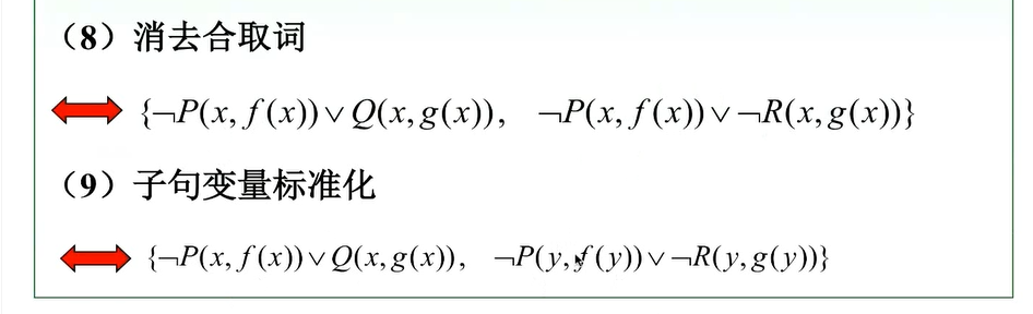
归结演绎推理步骤1- 谓词公式化为子句集

1 消去谓词公式中的“→”和“ < − > <-> <>"少符号
2. 把否定符号—移到紧靠谓词的位置上
3. 变量标准化
4.消去存在量词
a.存在量词不出现在全称量词的辖域内。
b.存在量词出现在一个或者多个全称量词的辖域内。
5.化为前束形
前束形=(前缀){母式}
(前缀):全称量词串。
{母式}:不含量词的谓词公式。
在这里插入图片描述

在这里插入图片描述
在这里插入图片描述

在这里插入图片描述
在这里插入图片描述

在这里插入图片描述
在这里插入图片描述

在这里插入图片描述

在这里插入图片描述
在这里插入图片描述
在这里插入图片描述
在这里插入图片描述
在这里插入图片描述

在这里插入图片描述
在这里插入图片描述

Logo

一站式 AI 云服务平台

更多推荐