人工智能实训 第十五章 时间上的概率推理
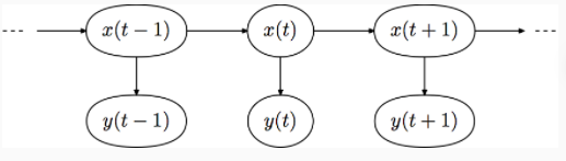
任务描述本关任务:了解掌握第十五章的内容并完成习题。相关知识为了完成本关任务,你需要掌握:1. 时间与不确定性;2. 隐马尔科夫模型;3. 卡尔曼滤波器;4. 动态贝叶斯网络。时间与不确定性将世界看作一系列快照。(时间片,每个时间片都包含了一组随机适量、其中一部分可观察另一部分是不可观察的。)Xt表示在时刻t的不可观察的状态变量集,E表示在时刻t的可观察的证据,时间片之间的时间间隔与具体问题有关。
任务描述
本关任务:了解掌握第十五章的内容并完成习题。
相关知识
为了完成本关任务,你需要掌握:1. 时间与不确定性;2. 隐马尔科夫模型;3. 卡尔曼滤波器;4. 动态贝叶斯网络。
时间与不确定性
将世界看作一系列快照。(时间片,每个时间片都包含了一组随机适量、其中一部分可观察另一部分是不可观察的。)
Xt表示在时刻t的不可观察的状态变量集,E表示在时刻t的可观察的证据,时间片之间的时间间隔与具体问题有关。
指定世界如何演变:转移模型。
证据变量如何得到它们的取值:传感器模型。
转移模型描述在给定过去的状态变量的值之后,确定最新状态变量的概率分布P(Xt|Xo:to)。
马尔可夫假设:当前状态只依赖于有限的固定数量的过去状态限制Xo:t-1的大小没有约束。
隐马尔科夫模型
隐马尔可夫模型(Hidden Markov Model,HMM)是统计模型,它用来描述一个含有隐含未知参数的马尔可夫过程。
其难点是从可观察的参数中确定该过程的隐含参数,然后利用这些参数来作进一步的分析,例如模式识别:
卡尔曼滤波器
卡尔曼滤波器是一个 (“optimalrecursivedataprocessingalgorithm”)最优化自回归数据处理算法。对于解决很大部分的问题,他是最优,效率最高甚至是最有用的。
他的广泛应用已经超过30年,包括机器人导航,控制,传感器数据融合甚至在军事方面的雷达系统以及导弹追踪等等。
近年来更被应用于计算机图像处理,例如头脸识别,图像分割,图像边缘检测等等。
动态贝叶斯网络
贝叶斯网络(Bayesian Networks)也被称为信念网络(Belif Networks)或者因果网络(Causal Networks),是描述数据变量之间依赖关系的一种图形模式,是一种用来进行推理的模型。
贝叶斯网络为人们提供了一种方便的框架结构来表示因果关系,这使得不确定性推理变得在逻辑上更为清晰、可理解性强。
对于贝叶斯网络,我们可以用两种方法来看待它:首先贝叶斯网表达了各个节点间的条件独立关系,我们可以直观的从贝叶斯网当中得出属性间的条件独立以及依赖关系;另外可以认为贝叶斯网用另一种形式表示出了事件的联合概率分布,根据贝叶斯网的网络结构以及条件概率表(CPT)我们可以快速得到每个基本事件(所有属性值的一个组合)的概率。
贝叶斯学习理论利用先验知识和样本数据来获得对未知样本的估计,而概率(包括联合概率和条件概率)是先验信息和样本数据信息在贝叶斯学习理论当中的表现形式。
开始你的任务吧,祝你成功!

更多推荐




所有评论(0)