马尔可夫链蒙特卡罗法(Markov Chain Monte Carlo,MCMC)
文章目录1. 蒙特卡罗法2. 马尔可夫链3. 马尔可夫链蒙特卡罗法4. Metropolis-Hastings 算法5. 吉布斯抽样蒙特卡罗法(Monte Carlo method),也称为统计模拟方法(statistical simulation method),是通过从概率模型的随机抽样进行近似数值计算的方法马尔可夫链蒙特卡罗法(Markov Chain Monte Carlo,MCMC)..
蒙特卡罗法(Monte Carlo method),也称为统计模拟方法(statistical simulation method),是通过从概率模型的随机抽样进行近似数值计算的方法
马尔可夫链蒙特卡罗法(Markov Chain Monte Carlo,MCMC),则是以马尔可夫链(Markov chain)为概率模型的蒙特卡罗法
马尔可夫链蒙特卡罗法 构建 一个马尔可夫链,使其平稳分布就是要进行抽样的分布,首先基于该马尔可夫链进行随机游走,产生样本的序列,之后使用该平稳分布的样本进行近似数值计算
马尔可夫链蒙特卡罗法被应用于概率分布的估计、定积分的近似计算、最优化问题的近似求解等问题,特别是被应用于统计学习中概率模型的学习与推理,是重要的统计学习计算方法
1. 蒙特卡罗法
- 核心思想:随机抽样(直接抽样法、接受-拒绝抽样法、重要性抽样法 等)
- 可用于数学期望估计、积分近似计算
- 一般的蒙特卡罗法中的
抽样样本是独立的,而马尔可夫链蒙特卡罗法中的抽样样本不是独立的,样本序列形成马尔科夫链。
2. 马尔可夫链
马尔可夫性:随机变量 X t X_t Xt 只依赖于前一个时刻 X t − 1 X_{t-1} Xt−1,不依赖于更早的时刻
齐次性:转移概率 P ( X t ∣ X t − 1 ) P(X_t|X_{t-1}) P(Xt∣Xt−1) 与 t t t 无关, P ( X t + s ∣ X t − 1 + s ) = P ( X t ∣ X t + 1 ) P(X_{t+s}|X_{t-1+s}) = P(X_t|X_{t+1}) P(Xt+s∣Xt−1+s)=P(Xt∣Xt+1)
马尔可夫链的状态分布由初始分布和转移概率分布决定 π ( t ) = P t π ( 0 ) \pi(t) = P^t \pi(0) π(t)=Ptπ(0)
马尔可夫链的平稳分布为 π ( π 1 , π 2 , . . . ) T \pi(\pi_1,\pi_2,...)^T π(π1,π2,...)T 的充要条件是: π \pi π 是下列方程组的解
x i = ∑ j p i j x j , i = 1 , 2 , . . . x i ≥ 0 , i = 1 , 2 , . . . ∑ i x i = 1 x_i = \sum\limits_j p_{ij}x_j, i = 1,2,...\\ x_i \ge 0, i=1,2,...\\ \sum\limits_i x_i = 1 xi=j∑pijxj,i=1,2,...xi≥0,i=1,2,...i∑xi=1
马尔可夫链可能存在唯一平稳分布,无穷多个平稳分布,或不存在平稳分布
性质:
-
不可约
P ( X t = i ∣ X 0 = j ) > 0 P(X_t=i|X_0=j)>0 P(Xt=i∣X0=j)>0 时刻0从状态 j 出发,时刻 t 到达状态 i 的概率大于 0,该链不可约
-
非周期
P ( X t = i ∣ X 0 = i ) > 0 P(X_t=i|X_0=i)>0 P(Xt=i∣X0=i)>0 时刻0从状态 i 出发,时刻 t 返回状态的所有时间长度的最大公约数是1,称该链是非周期的
定理:不可约且非周期的有限状态马尔可夫链,有唯一平稳分布存在 -
正常返
概率 p i j t p_{ij}^t pijt 为时刻 0 从状态 j 出发,时刻 t 首次转移到状态 i 的概率,若对所有状态 i, j,都满足 lim t → ∞ p i j t > 0 \lim\limits_{t\rightarrow \infty} p_{ij}^t >0 t→∞limpijt>0,称该链是正常返的

定理:不可约、非周期且正常返的马尔可夫链,有唯一平稳分布存在
- 可逆马尔可夫性
对任意状态 i,j,在任意时间 t 满足: p j i π j = p i j π i , i , j = 1 , 2 , . . . p_{ji}\pi_j = p_{ij}\pi_i, i,j=1,2,... pjiπj=pijπi,i,j=1,2,...(细致平衡方程)
如果有可逆的马尔可夫链,那么平稳分布作为初始分布,进行随机状态转移,无论是面向未来还是面向过去,任何一个时刻的状态分布都是该平稳分布。
定理:满足细致平衡方程的状态分布 π \pi π 就是该马尔可夫链的平稳分布
可逆马尔可夫链一定有唯一平稳分布,给出了一个马尔可夫链有平稳分布的充分条件(不是必要条件)
3. 马尔可夫链蒙特卡罗法
常用的马尔可夫链蒙特卡罗法 有Metropolis-Hastings算法、吉布斯抽样。
马尔可夫链蒙特卡罗法的收敛性的判断通常是经验性的
- 比如,在马尔可夫链上进行随机游走,检验遍历均值是否收敛
- 再比如,在马尔可夫链上并行进行多个随机游走,比较各个随机游走的遍历均值是否接近一致
4. Metropolis-Hastings 算法

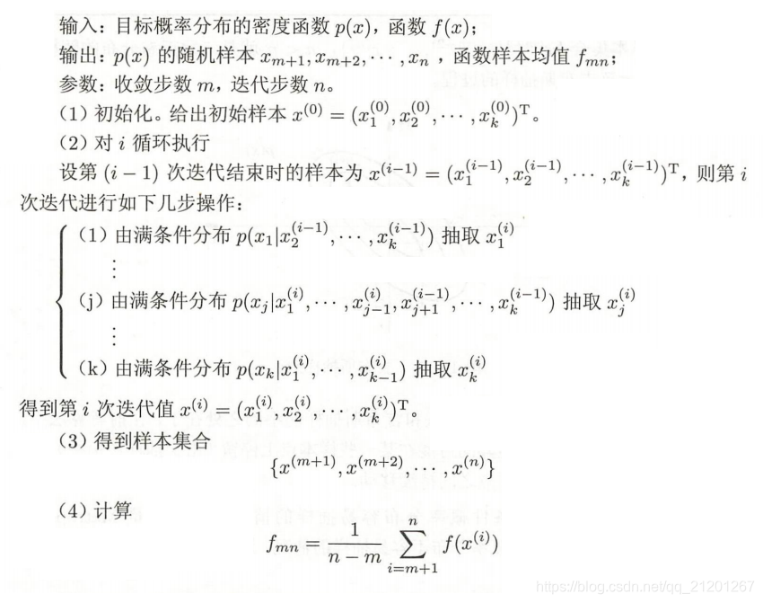
5. 吉布斯抽样

更多推荐



所有评论(0)