【图机器学习】4篇 Graph Embedding 重要论文
第一篇:Deep WalkDeepWalk: Online Learning of Social Representations(2014,Bryan Perozzi)算法做什么的?输入:一个 graph输出:每个节点对应的向量算法优点信息缺失下表现良好数据稀疏的情况下表现良好可用于大规模计算(算法可以并行化)social representations我们想让 social representa
第一篇:Deep Walk
DeepWalk: Online Learning of Social Representations(2014,Bryan Perozzi)
算法做什么的?
- 输入:一个 graph
- 输出:每个节点对应的向量

算法优点
- 信息缺失下表现良好
- 数据稀疏的情况下表现良好
- 可用于大规模计算(算法可以并行化)
social representations
我们想让 social representations 有这样的特点
- Adaptability:真实世界中,社交网络是不断演化的
- Community aware:向量距离,应当能代表网络成员的距离
- Low dimensional:向量应当是低纬的
- Continuous:值应当是连续的,如果这样,在此基础上的模型会更 robust。(例如分类模型会有一个稳定的分类平面)
1. Random Walks
在以往,Random walks,已经在对剑算法和社区检验中得到应用。
而且还有其它优点:
- 并行性。可以做多个 random walkers,在不同的线程、进程甚至机器上去跑。(in different threads, processes, or machines)
- 如果网络的少数节点改变,不需要全局重跑。
2. Connection: Power laws
如果度的分布服从 power law (is scale-free),那么random walk 得到的节点,也服从 power law
然后下面这个图,说明社交网络和自然语言的相似性:The power-law distribution of vertices appearingin short random walks (a) follows a power-law, much like the distribution of words in natural language (b).

3. Language Modeling
算法就是类似 word2vec 的算法
![[公式]](https://i-blog.csdnimg.cn/blog_migrate/e30b9aba8c85af459ba4f02ee49a49b3.png)
其中,
是节点到向量的映射
- 顺序不重要。原文给出两个原因:有助于获取“距离近”的概念,增加速度。
文章在下文还写了一些细节,都是word2vec中的概念,不多讲。
- SkipGram
- Hierarchical Softmax
模型的变体
- decay learning rate 不再可能,不过有时候设置小一点儿还是值得的。
- 二叉树可以使 Huffman 树实验
- BlogCatalog:label是topic categories
- Flickr:这是个用户和照片分享网络,label是用户点了“喜欢”还是“不喜欢”
- YouTube:label是用户喜欢的流派
然后实验结果当然是很好啊(用labeled data验证,仅用20%数据,达到别的模型90%效果)
第二篇:node2vec
node2vec: Scalable Feature Learning for Networks
本文贡献
- 提出了 node2vec 模型
- 展示了 node2vec 模型,符合以往的网络科学(network science)中建立起来的原则
- 拓展了 node2vec 算法,以及其他基于邻居的算法,来做基于边的预测任务
- 在真实数据上,建立 标签分类 (multi-label classification) 和 连接预测 ( link prediction) 这两种任务,目的是经验性地评估 node2vec (为啥是经验性地评估呢?个人觉得是因为这用两个任务评估算法有一定的说服力,但并不充分,但也没有更好的评估方法了)
前人成果
我们想要寻找一种无须任何人工工程(hand-engineered)的方法
无监督特征抽取,往往需要各种矩阵,例如拉普拉斯矩阵和近邻矩阵(Laplacian and the adjacency matrice),一代数视角看来,这些方法是一些降维技术,例如PCA和IsoMap,他们的缺点来自两个:计算量、统计表现。
- 特征分解就很耗费计算量。所以这些方法很难用到大规模网络上
- 对于各种网络特征,并不鲁棒。例如谱聚类(spectral clustering)的前提假设就很强(也就是很严,不过好多中文也喜欢用强这个词)。
然后论文介绍了NLP中的 word2vec 方法,然后说可以把节点序列类比为文字序列。这一块不多说。
但是,有很多种采样策略,论文的研究展示,没有哪个采样策略显著胜出。
node2vec 就克服了这一缺陷,靠的是设计了一个灵活的、不依赖特定采样策略的目标,以及提供了可以调整的参数。
node2vec框架
摘录一个原文上的公式:![[公式]](https://i-blog.csdnimg.cn/blog_migrate/e30b9aba8c85af459ba4f02ee49a49b3.png)
其中,
- V是节点,图
的节点。
是一种采样方法,
是用这种采样方法得到的邻居。(后面好几段都在强调这个采样方法是创新点)
NLP 中的 skip-gram,因为语言是线性的,所以直接去截取就行了。但图上的不能这样做。
传统的采样方法
有两个极端:
- Breadth-first Sampling (BFS)
- Depth-first Sampling (DFS)
这个不多说,看下面这个图

通常说,图上的点的预测问题,往往是两种相似性的折中:同质性和结构等价性。
(原文:prediction tasks on nodes in networks often shuttle between two kinds of similarities: homophily and structural equivalence)
- homophily:如果两个节点连接紧密,那么就应当归为一类。例如图中的s1和u就在homophily概念上算同一社区。
- structural equivalence:有相似的结构上的角色(e similar structural roles in networks),例如u和s6在结构上就很相似。现实中,两个节点可以相距很远,但有相同的结构。
一般来说,
- BFS取样更多的提取 structural equivalence 特征。直观理解:structural equivalence 更加依赖相邻的邻居,BFS会更多提取相邻邻居的信息。再者,BFS采样会把相邻邻居采样后的数量增多。
- DFS采样更多地提取邻居的更宏观的视角,更接近 homophily
node2vec
random walk

以概率随机游走,deep walk 那篇论文笔记里也写了,不多说。
![[公式]](https://i-blog.csdnimg.cn/blog_migrate/e30b9aba8c85af459ba4f02ee49a49b3.png)
其中
用来控制转移概率,最简单的模型可以取权重
是为了让概率总和归一化
search bias
这是本论文的一个特点,
看上面的图,假设已经从t游走到v,那么:
- v到t是回退
- v到x1是BFS
- v到x2,v到x3是DFS
与v相连的节点,都按照下面的原则赋值
- 对于回退,赋值为1/p
- 对于BFS,赋值1
- 对于DFS,赋值1/q
所以这就使用超参数p, q控制了BFS和DFS
实验
case study

结果与预期一致:
- 上面那个是 p=1, q=0.5 的结果,更多地提取了 homophily 特征
- 下面那个是 p=1, q=2 的结果,更多地提取了 structural equivalence 特征
experiment
模型应用于 multi-label classification
- BlogCatalog:label是blogger 的兴趣
- Protein-Protein Interactions (PPI),蛋白质之间的相互作用,也是一个 graph:label 是特征基因集(我也不懂)
- Wikipedia:网络是 cooccurrence network of words,label是词性
然后,实验就是用 one-vs-rest logistic regreesion ,计算其 F1-score,实验效果当然是挺好。
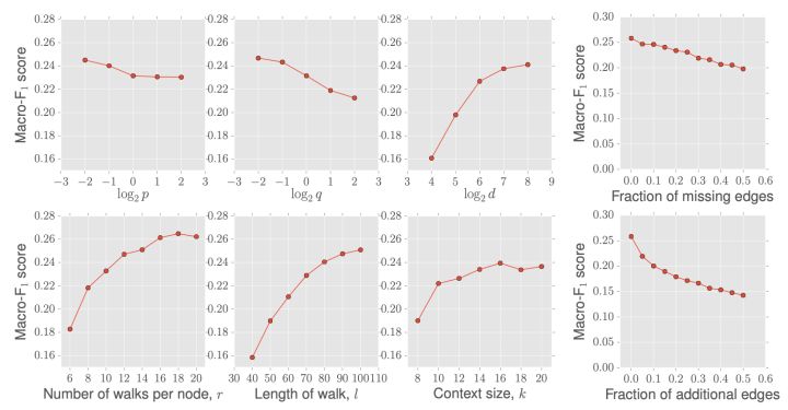
模型稳定性
然后,文章又做了稳定性实验。
- 随机去除某些边。
- 随机增加一些边
发现模型表现下降,但不很剧烈(下面的右边两个图)

数据规模
实验并记录了数据规模和计算耗时,线性关系。
而且采样时间花费占比很大。

Link prediction
为了做这件事:
- 随机去除50%的边,并且保证剩下的图是联通的
- 负例:随机选取不相邻的节点对
第三篇:Alibaba Embedding
论文名:《Billion-scale Commodity Embedding for E-commerce Recommendation in Alibaba(kdd 2018)》
模型是做什么的?
模型输入是用户点击流+物品属性
模型输出是每个item对应的低维向量
abstract&introduction
Taobao是国内最大的C2C平台,推荐系统面临3个问题:
- scalability
- sparsity
- cold start
本论文解决这个问题,基于 graph embedding 方法。
two-stage recommending framework
2 stage 分别是
- matching :生成candidate
- ranking :用DNN做个排序
本文专注 matching 问题,核心问题是基于用户行为计算出物品的两两相似度( pairwise similarities between all items based on users’ behaviors)
以前的方法是 CF 方法(collaborative filtering),但CF的缺点是只考虑物品在用户行为中同时出现这种情况。CF based methods only consider the co-occurrence of items in users’ behavior history
本文的方法规避了这种不足。
但仍然存在 冷启动 的问题,为了解决这个问题,使用 side information 去增强 embedding 过程。
例如,同一品牌、品类的商品,应该更近一点。
但是,Taobao 的 side information 有几百种,而且直觉能想到,不同的 side information 权重肯定不同
Alibaba graph-embedding

构造图的策略
CF 策略只考虑了 co-occurrence,没考虑 sequential information
- 将每个用户浏览序列sequence,做session分隔,1个sequence->n个sessions,每个session 构成一个sequence
- 将所有sequence构成有向有权图,
- 权重是次数之和
- 该步骤需要过滤掉:
- 少于1秒的点击:可能不是用户有意点的
- 点击量太多,或购买量太多的用户,可能是 spam user
- 同样的ID,可能实际商品变了,这也要移除。
DeepWalk
在 graph 上做随机游走。
Graph Embedding with Side Information
为了解决 “cold-start” 问题
side information 指的是品类、店铺、价格等。
例如,同一个店铺的两个羊毛衫,应当较近。Nikon lens和Canon Camera应该很近(品类和品牌接近)
模型做法是把 side information 作为特征,然后求均值(GES模型)
现实中,特征的权重肯定是不一样的。例如,买iPhone的人,更可能买mac,这里品牌权重大。买衣服的,可能买同一家店铺的另一个品牌的衣服,为了优惠,这里店铺特征权重大。所以引入EGES模型。
这个模型给每个item的每个side information 特征,加一个权重。
- 权重值形如 exex,而不是x,这是为了保证权重为正)
- 引入item对field weights: 建立一个MxN的大权重矩阵,学习每个item在各个标签field上的权重
- 新item的表示: item将由其本身的id特征、其他标签特征、特征权重共同表达,如果新item没有id特征,则只用标签特征做加权平均模拟,加到向量模型

- 随机选择1/3的边,作为test set,并且移除,剩下的作为训练集
- test set 中,相同数量的 node paris(不相互连接的),作为test set 的负例。
Taobao 数据,按经验选了12个比较重要的 side information
在线AB test
使用CTR指标
模型部署
离线+在线的形式,不多写了。
第四篇:Airbnb word2vec
(大体类似,细节不同)
- reference《Real-time Personalization using Embeddings for Search Ranking at Airbnb(kdd 2018)》
- 提出了自己的冷启动策略
- 通过修改采样模式来优化word2vec的策略
采样策略
global context:
- 如果用户点击了 like/share,那么这个session内,这个条目与每个浏览都形成点击对(窗口无限大)
- 另一个做法(美图秀秀)做了借鉴。他们有dislike这个行为,那么条目作为负例。
- 用session分割点击序列:将用户点击序列过滤再分段成n个sessions,一个session指的是相邻item时间间隔≤30mins的”有效”行为序列
- 局部负例采样:提出要额外从同属一个cluster的其他item里抽负样本
- 付费行为强化:点击序列中若有付费行为,则将这个 item 强制纳入该序列每个item的上下文窗口
- airbnb并没有做end2end的学习属性的embedding,而是直接把new item按主要属性检索到最相似的top3个已知的item,取3个item向量的平均值初始化new item embedding
更多推荐




所有评论(0)