机器学习——05 Logistic回归
逻辑回归
·
目录
1.LR基础
虽然叫回归,但是做的是分类问题。


逻辑回归一般用于二分类。
对于多分类问题,可以使用多个二分类依次分出来
1.1 逻辑回归正则化

2. 线性逻辑回归代码实现
LR适合离散特征,不适合特征空间大的情况。
两种实现方式——1.梯度下降法python实现
2.skleran库python实现
数据集之后上传
2.1 梯度下降法python实现
import matplotlib.pyplot as plt
import numpy as np
from sklearn.metrics import classification_report
from sklearn import preprocessing
# 数据是否需要标准化
scale = True
# 载入数据
data = np.genfromtxt("LR-testSet.csv", delimiter=",")
x_data = data[:, :-1]
y_data = data[:, -1]
def plot():
x0 = []
x1 = []
y0 = []
y1 = []
# 切分不同类别的数据
for i in range(len(x_data)):
if y_data[i] == 0:
x0.append(x_data[i, 0])
y0.append(x_data[i, 1])
else:
x1.append(x_data[i, 0])
y1.append(x_data[i, 1])
# 画图
scatter0 = plt.scatter(x0, y0, c='b', marker='o')
scatter1 = plt.scatter(x1, y1, c='r', marker='x')
# 画图例
plt.legend(handles=[scatter0, scatter1], labels=['label0', 'label1'], loc='best')
plot()
plt.show()
# 数据处理,添加偏置项
x_data = data[:,:-1]
y_data = data[:,-1,np.newaxis]
print(np.mat(x_data).shape)
print(np.mat(y_data).shape)
# 给样本添加偏置项
X_data = np.concatenate((np.ones((100,1)),x_data),axis=1)
print(X_data.shape)
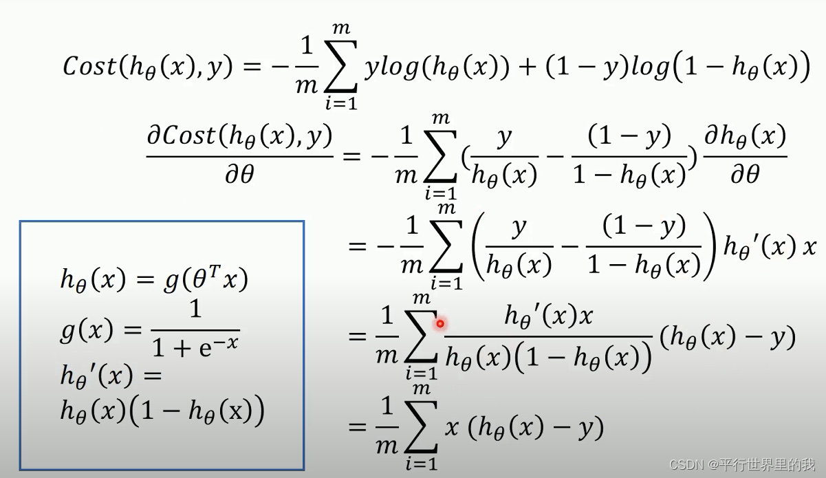
def sigmoid(x):
return 1.0 / (1 + np.exp(-x))
def cost(xMat, yMat, ws):
left = np.multiply(yMat, np.log(sigmoid(xMat * ws)))
right = np.multiply(1 - yMat, np.log(1 - sigmoid(xMat * ws)))
return np.sum(left + right) / -(len(xMat))
def gradAscent(xArr, yArr):
if scale == True:
xArr = preprocessing.scale(xArr)
xMat = np.mat(xArr)
yMat = np.mat(yArr)
lr = 0.001
epochs = 10000
costList = []
# 计算数据行列数
# 行代表数据个数,列代表权值个数
m, n = np.shape(xMat)
# 初始化权值
ws = np.mat(np.ones((n, 1)))
for i in range(epochs + 1):
# xMat和weights矩阵相乘
h = sigmoid(xMat * ws)
# 计算误差
ws_grad = xMat.T * (h - yMat) / m
ws = ws - lr * ws_grad
if i % 50 == 0:
costList.append(cost(xMat, yMat, ws))
return ws, costList
# 训练模型,得到权值和cost值的变化
ws,costList = gradAscent(X_data, y_data)
print(ws)
if scale == False:
# 画图决策边界
plot()
x_test = [[-4],[3]]
y_test = (-ws[0] - x_test*ws[1])/ws[2]
plt.plot(x_test, y_test, 'k')
plt.show()
# 画图 loss值的变化
x = np.linspace(0,10000,201)
plt.plot(x, costList, c='r')
plt.title('Train')
plt.xlabel('Epochs')
plt.ylabel('Cost')
plt.show()
# 预测
def predict(x_data, ws):
if scale == True:
x_data = preprocessing.scale(x_data)
xMat = np.mat(x_data)
ws = np.mat(ws)
return [1 if x >= 0.5 else 0 for x in sigmoid(xMat*ws)]
predictions = predict(X_data, ws)
print(classification_report(y_data, predictions))
2.2 skleran库python实现
import matplotlib.pyplot as plt
import numpy as np
from sklearn.metrics import classification_report
from sklearn import preprocessing
from sklearn import linear_model
# 数据是否需要标准化
scale = False
# 载入数据
data = np.genfromtxt("LR-testSet.csv", delimiter=",")
x_data = data[:, :-1]
y_data = data[:, -1]
def plot():
x0 = []
x1 = []
y0 = []
y1 = []
# 切分不同类别的数据
for i in range(len(x_data)):
if y_data[i] == 0:
x0.append(x_data[i, 0])
y0.append(x_data[i, 1])
else:
x1.append(x_data[i, 0])
y1.append(x_data[i, 1])
# 画图
scatter0 = plt.scatter(x0, y0, c='b', marker='o')
scatter1 = plt.scatter(x1, y1, c='r', marker='x')
# 画图例
plt.legend(handles=[scatter0, scatter1], labels=['label0', 'label1'], loc='best')
plot()
plt.show()
logistic = linear_model.LogisticRegression()
logistic.fit(x_data, y_data)
if scale == False:
# 画图决策边界
plot()
x_test = np.array([[-4],[3]])
y_test = (-logistic.intercept_ - x_test*logistic.coef_[0][0])/logistic.coef_[0][1]
plt.plot(x_test, y_test, 'k')
plt.show()
predictions = logistic.predict(x_data)
print(classification_report(y_data, predictions))
3. 非线性逻辑回归代码实现
就和回归里面的多项式回归差不多
3.1 梯度下降法python实现
import matplotlib.pyplot as plt
import numpy as np
from sklearn.metrics import classification_report
from sklearn import preprocessing
from sklearn.preprocessing import PolynomialFeatures
# 数据是否需要标准化
scale = False
# 载入数据
data = np.genfromtxt("LR-testSet2.txt", delimiter=",")
x_data = data[:, :-1]
y_data = data[:, -1, np.newaxis]
def plot():
x0 = []
x1 = []
y0 = []
y1 = []
# 切分不同类别的数据
for i in range(len(x_data)):
if y_data[i] == 0:
x0.append(x_data[i, 0])
y0.append(x_data[i, 1])
else:
x1.append(x_data[i, 0])
y1.append(x_data[i, 1])
# 画图
scatter0 = plt.scatter(x0, y0, c='b', marker='o')
scatter1 = plt.scatter(x1, y1, c='r', marker='x')
# 画图例
plt.legend(handles=[scatter0, scatter1], labels=['label0', 'label1'], loc='best')
plot()
plt.show()
# 定义多项式回归,degree的值可以调节多项式的特征
poly_reg = PolynomialFeatures(degree=3)
# 特征处理
x_poly = poly_reg.fit_transform(x_data)
def sigmoid(x):
return 1.0 / (1 + np.exp(-x))
def cost(xMat, yMat, ws):
left = np.multiply(yMat, np.log(sigmoid(xMat * ws)))
right = np.multiply(1 - yMat, np.log(1 - sigmoid(xMat * ws)))
return np.sum(left + right) / -(len(xMat))
def gradAscent(xArr, yArr):
if scale == True:
xArr = preprocessing.scale(xArr)
xMat = np.mat(xArr)
yMat = np.mat(yArr)
lr = 0.03
epochs = 50000
costList = []
# 计算数据列数,有几列就有几个权值
m, n = np.shape(xMat)
# 初始化权值
ws = np.mat(np.ones((n, 1)))
for i in range(epochs + 1):
# xMat和weights矩阵相乘
h = sigmoid(xMat * ws)
# 计算误差
ws_grad = xMat.T * (h - yMat) / m
ws = ws - lr * ws_grad
if i % 50 == 0:
costList.append(cost(xMat, yMat, ws))
return ws, costList
# 训练模型,得到权值和cost值的变化
ws,costList = gradAscent(x_poly, y_data)
print(ws)
# 获取数据值所在的范围
x_min, x_max = x_data[:, 0].min() - 1, x_data[:, 0].max() + 1
y_min, y_max = x_data[:, 1].min() - 1, x_data[:, 1].max() + 1
# 生成网格矩阵
xx, yy = np.meshgrid(np.arange(x_min, x_max, 0.02),
np.arange(y_min, y_max, 0.02))
# np.r_按row来组合array,
# np.c_按colunm来组合array
# >>> a = np.array([1,2,3])
# >>> b = np.array([5,2,5])
# >>> np.r_[a,b]
# array([1, 2, 3, 5, 2, 5])
# >>> np.c_[a,b]
# array([[1, 5],
# [2, 2],
# [3, 5]])
# >>> np.c_[a,[0,0,0],b]
# array([[1, 0, 5],
# [2, 0, 2],
# [3, 0, 5]])
z = sigmoid(poly_reg.fit_transform(np.c_[xx.ravel(), yy.ravel()]).dot(np.array(ws)))# ravel与flatten类似,多维数据转一维。flatten不会改变原始数据,ravel会改变原始数据
for i in range(len(z)):
if z[i] > 0.5:
z[i] = 1
else:
z[i] = 0
z = z.reshape(xx.shape)
# 等高线图
cs = plt.contourf(xx, yy, z)
plot()
plt.show()
# 预测
def predict(x_data, ws):
# if scale == True:
# x_data = preprocessing.scale(x_data)
xMat = np.mat(x_data)
ws = np.mat(ws)
return [1 if x >= 0.5 else 0 for x in sigmoid(xMat*ws)]
predictions = predict(x_poly, ws)
print(classification_report(y_data, predictions))
3.2 skleran库python实现
数据集是自己生成的
import numpy as np
import matplotlib.pyplot as plt
from sklearn import linear_model
from sklearn.datasets import make_gaussian_quantiles
from sklearn.preprocessing import PolynomialFeatures
# 生成2维正态分布,生成的数据按分位数分为两类,500个样本,2个样本特征
# 可以生成两类或多类数据
x_data, y_data = make_gaussian_quantiles(n_samples=500, n_features=2,n_classes=2)
plt.scatter(x_data[:, 0], x_data[:, 1], c=y_data)
plt.show()
# ###################################################################################################################################
# 线性逻辑回归效果很差
logistic = linear_model.LogisticRegression()
logistic.fit(x_data, y_data)
# 获取数据值所在的范围
x_min, x_max = x_data[:, 0].min() - 1, x_data[:, 0].max() + 1
y_min, y_max = x_data[:, 1].min() - 1, x_data[:, 1].max() + 1
# 生成网格矩阵
xx, yy = np.meshgrid(np.arange(x_min, x_max, 0.02),
np.arange(y_min, y_max, 0.02))
# np.r_按row来组合array,
# np.c_按colunm来组合array
# >>> a = np.array([1,2,3])
# >>> b = np.array([5,2,5])
# >>> np.r_[a,b]
# array([1, 2, 3, 5, 2, 5])
# >>> np.c_[a,b]
# array([[1, 5],
# [2, 2],
# [3, 5]])
# >>> np.c_[a,[0,0,0],b]
# array([[1, 0, 5],
# [2, 0, 2],
# [3, 0, 5]])
z = logistic.predict(np.c_[xx.ravel(), yy.ravel()])# ravel与flatten类似,多维数据转一维。flatten不会改变原始数据,ravel会改变原始数据
z = z.reshape(xx.shape)
# 等高线图
cs = plt.contourf(xx, yy, z)
# 样本散点图
plt.scatter(x_data[:, 0], x_data[:, 1], c=y_data)
plt.show()
print('score:',logistic.score(x_data,y_data))
# ###################################################################################################################################
# 定义多项式回归,degree的值可以调节多项式的特征
poly_reg = PolynomialFeatures(degree=5)
# 特征处理
x_poly = poly_reg.fit_transform(x_data)
# 定义逻辑回归模型
logistic = linear_model.LogisticRegression()
# 训练模型
logistic.fit(x_poly, y_data)
# 获取数据值所在的范围
x_min, x_max = x_data[:, 0].min() - 1, x_data[:, 0].max() + 1
y_min, y_max = x_data[:, 1].min() - 1, x_data[:, 1].max() + 1
# 生成网格矩阵
xx, yy = np.meshgrid(np.arange(x_min, x_max, 0.02),
np.arange(y_min, y_max, 0.02))
# np.r_按row来组合array,
# np.c_按colunm来组合array
# >>> a = np.array([1,2,3])
# >>> b = np.array([5,2,5])
# >>> np.r_[a,b]
# array([1, 2, 3, 5, 2, 5])
# >>> np.c_[a,b]
# array([[1, 5],
# [2, 2],
# [3, 5]])
# >>> np.c_[a,[0,0,0],b]
# array([[1, 0, 5],
# [2, 0, 2],
# [3, 0, 5]])
z = logistic.predict(poly_reg.fit_transform(np.c_[xx.ravel(), yy.ravel()]))# ravel与flatten类似,多维数据转一维。flatten不会改变原始数据,ravel会改变原始数据
z = z.reshape(xx.shape)
# 等高线图
cs = plt.contourf(xx, yy, z)
# 样本散点图
plt.scatter(x_data[:, 0], x_data[:, 1], c=y_data)
plt.show()
print('score:',logistic.score(x_poly,y_data))
4. LR总结
4.1 LR优缺点
| 优点 |
模型简单,解释性好 |
| 训练快,资源消耗小,易调整 | |
| 常用作Baseline | |
| 缺点 | 准确率不高 |
| 不适用数据不平衡的问题,因为区分度不好 | |
| 不适用大规模数据集,否则易过拟合 |
4.2 逻辑回归 VS 线性回归
Logistic Regression=逻辑回归 Linear Regression=线性回归
| 不同 | 逻辑回归处理分类问题,线性回归处理回归问题 |
| 逻辑回归变量没有要求,线性回归要求变量相互独立 | |
| 逻辑回归是离散变量,线性回归是连续变量 | |
| 相同 | 都使用了极大似然估计对训练样本进行建模 |
| 都可以使用梯度下降法训练参数 |
总结:
由于LR逻辑回归模型的简单高效,易于实现调整,常常用做baseline模型。
目前来看,LR模型是推荐系统、广告预估的三大基础模型之一,另外2个是GBDT、FM。
更多推荐




所有评论(0)