【深度学习基础】三层神经网络的设计
本文主要给出三层神经网络前向推导的步骤和代码实现:上述的符号表示为第一层神经元的权重,并且指定为前一层的2号神经元与后一层的1号神经元直接的权重。我们以a1为例,a1的值分为两个部分,一是权重与输入的乘积之和,二是偏置。 以此类推,其实a2, a3的计算方法也是类似的 我们用矩阵表示为: 具体的矩阵: 代码实现A值计算:我们知道,A值计算出来后,需要使用激活函数进行激活:整个输入层到第一隐藏层的计
·
本文主要给出三层神经网络前向推导的步骤和代码实现:

符号规定

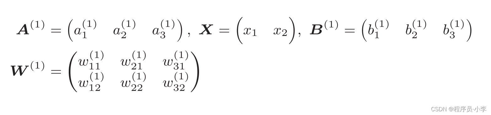
上述的符号表示为第一层神经元的权重,并且指定为前一层的2号神经元与后一层的1号神经元直接的权重。
第一层:输入层到第一隐藏层

我们以a1为例,a1的值分为两个部分,一是权重与输入的乘积之和,二是偏置。

以此类推,其实a2, a3的计算方法也是类似的

我们用矩阵表示为:

具体的矩阵:

代码实现A值计算:
X = np.array([1.0, 0.5]) # 输入矩阵
W1 = np.array([[0.1, 0.3, 0.5], [0.2, 0.4, 0.6]]) # 权重矩阵
B1 = np.array([0.1, 0.2, 0.3]) # 偏置矩阵
A1 = np.dot(X, W1) + B1
我们知道,A值计算出来后,需要使用激活函数进行激活:
Z1 = sigmoid(A1) # 使用SIGMOD激活
print(A1) # [0.3, 0.7, 1.1]
print(Z1) # [0.57444252, 0.66818777, 0.75026011]

整个输入层到第一隐藏层的计算就结束了。
1. 计算输入与权重乘积的和,加上偏置
2. 使用激活函数判断
第二层:第一隐藏层到第二隐藏层
与前一层的计算类似,

先计算A

矩阵表示:

代码实现:
W2 = np.array([[0.1, 0.4], [0.2, 0.5], [0.3, 0.6]]) # 权重矩阵
B2 = np.array([0.1, 0.2]) # 偏置矩阵
A2 = np.dot(Z1, W2) + B2
Z2 = sigmoid(A2)
第三层:第二隐藏层到输出层

与前两个步骤唯一不同的点在于,第三层的激活函数不再使用SIGMOD,而是采用的等值函数(原样输出y = x)
同样的,先计算A

矩阵表示:

代码实现:
def identity_function(x):
return x
W3 = np.array([[0.1, 0.3], [0.2, 0.4]]) # 权重矩阵
B3 = np.array([0.1, 0.2]) # 偏置矩阵
A3 = np.dot(Z2, W3) + B3
Y = identity_function(A3) # 或者Y = A3
更多推荐


所有评论(0)