机器学习的数学基础(一):高等数学基础!
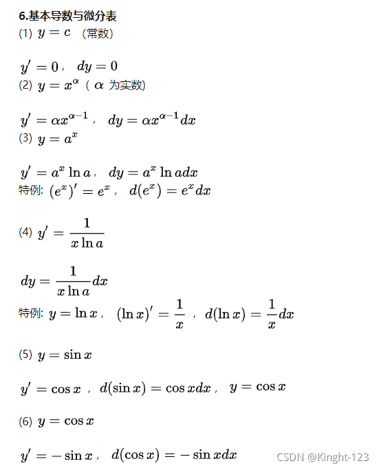
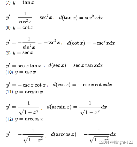
目录一、高等数学1.导数的定义2.左右导数的几何意义和物理意义3.函数的可导性与连续性之间的关系4.平面曲线的切线和法线5.四则运算法则6.基本导数和微分表7.复合函数、反函数,隐函数以及参数方程所确定的函数的微分法8.常用高阶导数公式9..微分中值定理,,泰勒公式10.洛必达法则11.泰勒公式12.函数单调性的判断13.渐近线的求法14.函数凹凸性的判断15.弧微分16.曲率17.曲率半径一、高
·
更多推荐
目录一、高等数学1.导数的定义2.左右导数的几何意义和物理意义3.函数的可导性与连续性之间的关系4.平面曲线的切线和法线5.四则运算法则6.基本导数和微分表7.复合函数、反函数,隐函数以及参数方程所确定的函数的微分法8.常用高阶导数公式9..微分中值定理,,泰勒公式10.洛必达法则11.泰勒公式12.函数单调性的判断13.渐近线的求法14.函数凹凸性的判断15.弧微分16.曲率17.曲率半径一、高
更多推荐
所有评论(0)