GitHub | 周志华《机器学习》手推笔记正式开源!可打印版本附pdf下载链接
点上方蓝字计算机视觉联盟获取更多干货在右上方···设为星标★,与你不见不散编辑:Sophia|联盟笔记计算机视觉联盟 报道 |公...
点上方蓝字计算机视觉联盟获取更多干货
在右上方 ··· 设为星标 ★,与你不见不散
编辑:Sophia | 联盟笔记
计算机视觉联盟 报道 | 公众号 CVLianMeng
导读:本笔记是博士AI系列笔记,本文带来的是《机器学习》第三章笔记
本内容同步更新至Github上:
https://github.com/Sophia-11/Machine-Learning-Notes/blob/master/README.md
本手推笔记PDF版本
请后台回复【西瓜书手推笔记】即可获得百度云pdf下载链接
近期热文笔记请看:
【1】Python必备收藏!大佬总结的Pycharm 常用快捷键思维导图!
【2】收藏!博士大佬的BP神经网络、K-means、SVM超平面手推笔记!
【5】全网首发!2020年AI、CV、NLP顶会最全时间表!
请回顾第一章和第二章内容:
第一章 绪论

第二章 模型评估与选择
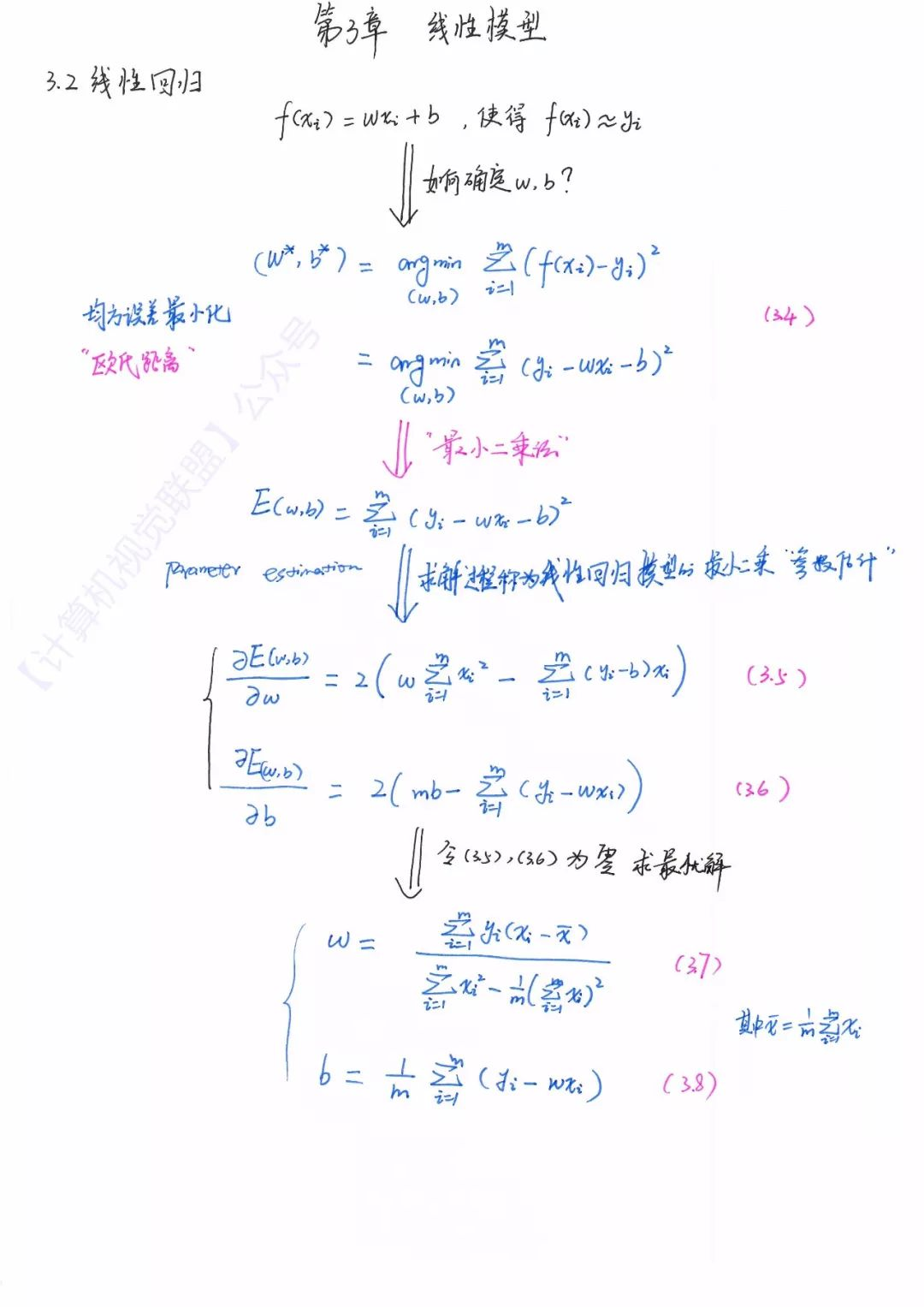
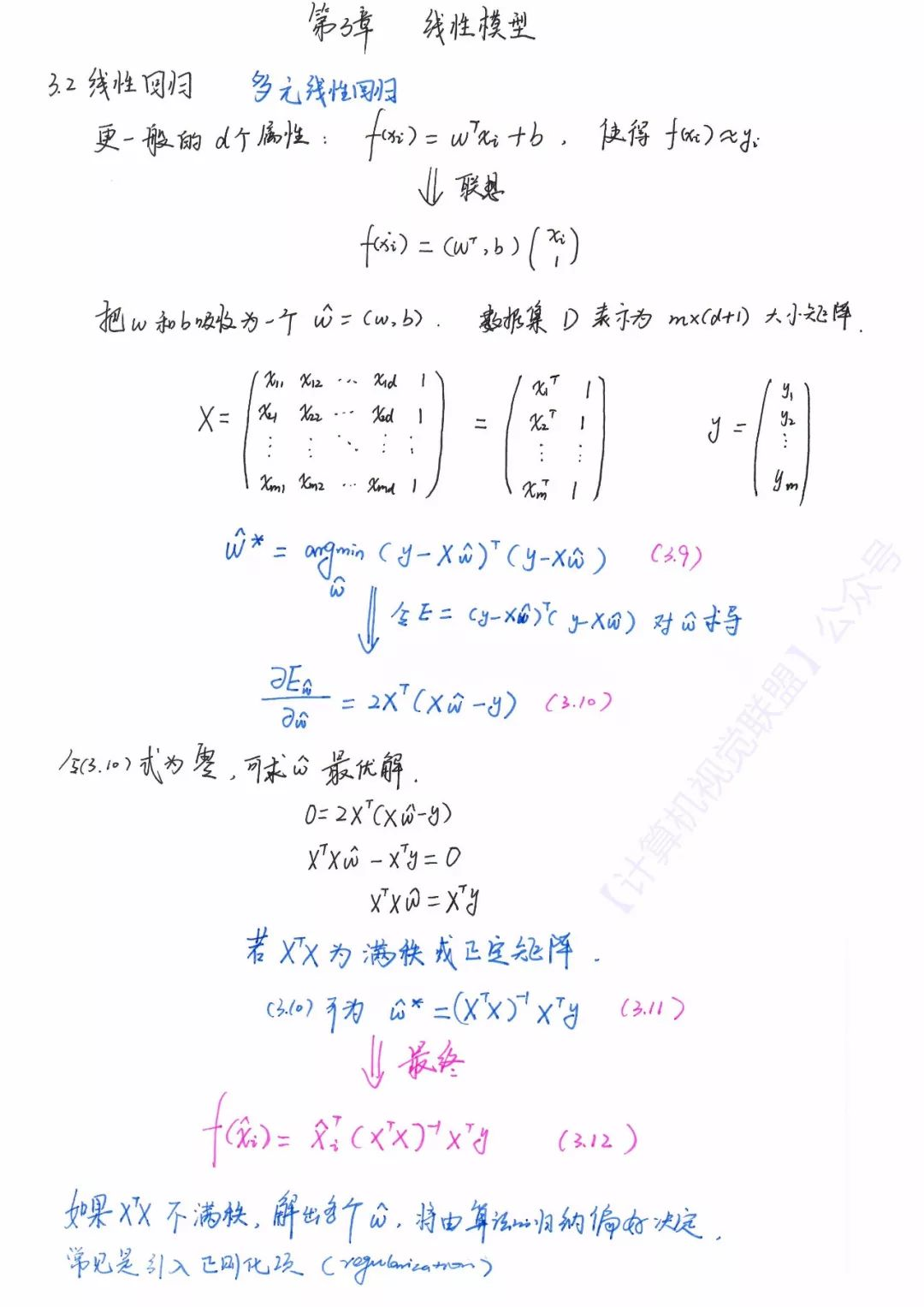
第三章 线性模型










本内容同步更新至Github上:
https://github.com/Sophia-11/Machine-Learning-Notes/blob/master/README.md
本手推笔记PDF版本
请后台回复【西瓜书手推笔记】即可获得百度云pdf下载链接
END
声明:本文来源于联盟手推笔记
如有侵权,联系删除
联盟学术交流群
扫码添加联盟小编,可与相关学者研究人员共同交流学习:目前开设有人工智能、机器学习、计算机视觉、自动驾驶(含SLAM)、Python、求职面经、综合交流群扫描添加CV联盟微信拉你进群,备注:CV联盟

Python自学系列荐读
1. 带你自学Python系列(一):变量和简单数据类型(附思维导图)
2. 带你自学Python系列(二):Python列表总结-思维导图
3. 带你自学Python系列(三):列表遍历(for循环)
4. 带你自学Python系列(四):range、min、max、sum函数
5. 带你自学Python系列(五):Python解决列表字符不区分大小写问题
7. 带你自学Python系列(七):Python列表复制陷阱
8. 带你自学Python系列(八):列表具体操作思维导图总结!
9. 带你自学Python系列(九):一文读懂Python中字典应用原理!
10. 带你自学Python系列(十):用户输入input函数详解
11. 带你自学Python系列(十一):Python函数的用法(一)
12. 带你自学Python系列(十二):Python函数的用法(二)
13. 带你自学Python系列(十三):Python函数的用法(三)
14. 带你自学Python系列(十四):Python函数的用法(四)
15. 带你自学Python系列(十五):Python中类的用法(一)
16. 带你自学Python系列(十六):Python中类的用法(二)
17. 带你自学Python系列(十七):Python中类的用法(三)
18. 带你自学Python系列(十八):Python中类的用法(四)
19. 带你自学Python系列(十九):Python读取文件详解
20.带你自学Python系列(二十):Python文件写入详解

点个在看支持一下吧

更多推荐




所有评论(0)