自然语言处理-搜索中常用的bm25
BM25算法是一种常见用来做相关度打分的公式,思路比较简单,主要就是计算一个query里面所有词和文档的相关度,然后在把分数做累加操作,而每个词的相关度分数主要还是受到tf/idf的影响。关于BimBIM(二元假设模型)对于单词特征,只考虑单词是否在doc中出现过,并没有考虑单词本身的相关特征,BM25在BIM的基础上引入单词在查询中的权值,单词在doc中的权值,以及一些经验参数,所以BM25..
BM25算法是一种常见用来做相关度打分的公式,思路比较简单,主要就是计算一个query里面所有词和文档的相关度,然后在把分数做累加操作,而每个词的相关度分数主要还是受到tf/idf的影响。
关于Bim
BIM(二元假设模型)对于单词特征,只考虑单词是否在doc中出现过,并没有考虑单词本身的相关特征,BM25在BIM的基础上引入单词在查询中的权值,单词在doc中的权值,以及一些经验参数,所以BM25在实际应用中效果要远远好于BIM模型。
具体的bm25
bm25算法是常见的用来计算query和文章相关度的相似度的。其实这个算法的原理很简单,就是将需要计算的query分词成w1,w2,…,wn,然后求出每一个词和文章的相关度,最后将这些相关度进行累加,最终就可以的得到文本相似度计算结果。
首先Wi表示第i个词的权重,这里我们一般会使用TF-IDF算法来计算词语的权重这个公式第二项R(qi,d)表示我们查询query中的每一个词和文章d的相关度,这一项就涉及到复杂的运算,我们慢慢来看。一般来说Wi的计算我们一般用逆项文本频率IDF的计算公式:
在这个公式中,N表示文档的总数,n(qi)表示包含这个词的文章数,为了避免对数里面分母项等于0,我们给分子分母同时加上0.5,这个0.5被称作调教系数,所以当n(qi)越小的时候IDF值就越大,表示词的权重就越大。
来举个栗子:“bm25”这个词只在很少一部分的文章中出现,n(qi)就会很小,那么“bm25”的IDF值就很大;“我们”,“是”,“的”这样的词,基本上在每一篇文章中都会出现,那么n(qi)就很接近N,所以IDF值就很接近于0,
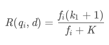
接着我们来看公式中的第二项R(qi,d),接着来看看第二项的计算公式:
在这个公式中,一般来说,k1、k2和b都是调节因子,k1=1、k2=1、b = 0.75,qfi表示qi在查询query中出现的频率,fi表示qi在文档d中出现的频率,因为在一般的情况下,qi在查询query中只会出现一次,因此把qfi=1和k2=1代入上述公式中,后面一项就等于1,最终可以得到:

我们再来看看K,在这里其实K的值也是一个公式的缩写,我们把K展开来看:
在K的展开式中dl表示文档的长度,avg(dl)表示文档的平均长度,b是前面提到的调节因子,从公式中可以看出在文章长度比平均文章长度固定的情况下,调节因子b越大,文章长度占有的影响权重就越大,反之则越小。在调节因子b固定的时候,当文章的长度比文章的平均长度越大,则K越大,R(qi,d)就越小。我们把K的展开式带入到bm25计算公式中去:
以上就是bm25算法的流程了。
以下是实现过程:
更多推荐




所有评论(0)