公司要训练一个70B大模型,我快分裂了!70b的AI模型需要多少显存?
做大模型相关的项目,会有这样的情形:领导交给你一个任务,说我们要微调出一个 70B 的领域大模型,需要多少硬件资源,并且预估一下训练时间,xxx 你来列一个清单,我去汇报。要回答这个问题,就需要弄明白 train 这个模型到底需要多少张 GPU 卡?今天我们就来聊聊:如何估计 LLM 的训练资源?首先来看第一个问题,在大模型的过程中,占用显存的大头主要分为四部分:模型参数前向计算过程中产生的中间激
做大模型相关的项目,会有这样的情形:领导交给你一个任务,说我们要微调出一个 70B 的领域大模型,需要多少硬件资源,并且预估一下训练时间,xxx 你来列一个清单,我去汇报。
要回答这个问题,就需要弄明白 train 这个模型到底需要多少张 GPU 卡?今天我们就来聊聊:如何估计 LLM 的训练资源?
首先来看第一个问题,在大模型的过程中,占用显存的大头主要分为四部分:
-
模型参数
-
前向计算过程中产生的中间激活
-
后向传递计算得到的梯度
-
优化器状态
这里着重分析参数、梯度和优化器状态的显存占用,中间激活的显存占用后面会详细介绍。
训练大模型时通常会采用 AdamW 优化器,并用混合精度训练来加速训练,基于这个前提分析显存占用。
在一次训练迭代中,每个可训练模型参数都会对应 1 个梯度,并对应 2 个优化器状态(Adam 优化器梯度的一阶动量和二阶动量)。
设模型参数量为 Φ,那么梯度的元素数量为 Φ,AdamW 优化器的元素数量为 2_Φ_。float16 数据类型的元素占 2 个 bytes,float32 数据类型的元素占 4 个 bytes。
在混合精度训练中,会使用 float16 的模型参数进行前向传递和后向传递,计算得到 float16 的梯度;在优化器更新模型参数时,会使用 float32 的优化器状态、float32 的梯度、float32 的模型参数来更新模型参数。
我给大家准备了一份全套的《AI大模型零基础入门+进阶学习资源包》,包括AI大模型入门学习思维导图、精品AI大模型学习书籍手册、视频教程、实战学习等录播视频免费分享出来。😝有需要的小伙伴,可以VX扫描下方二维码免费领取🆓
因此,对于每个可训练模型参数,占用了:

所以,模型参数、梯度和优化器状态的显存占用为 20 Φ bytes。
除了模型参数、梯度、优化器状态外,占用显存的大头就是前向传递过程中计算得到的中间激活值了,需要保存中间激活以便在后向传递计算梯度时使用。
这里的激活指的是:前向传递过程中计算得到的,并在后向传递过程中需要用到的所有张量。
假设中间激活值是以 float16 或 bfloat16 数据格式来保存的,每个元素占了 2 个 bytes。
唯一例外的是,dropout 操作的 mask 矩阵,每个元素只占 1 个 bytes。在下面的分析中,单位是 bytes,而不是元素个数。
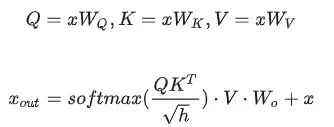
每个 transformer 层包含了一个 self-attention 块和 MLP 块,并分别对应了一个 layer normalization 连接。
先分析 self-attention 块的中间激活。self-attention 块的计算公式如下:

假设输入的形状是 [b,s,h],那么可以分为这几步来看:

因此,self-attention 块的中间激活占用显存大小为 11bsh+5_s_²α。
接下来看 MLP 块的中间激活。MLP 块的计算公式如下:

其中:
-
第一个线性层需要保存其输入,占用显存大小为 2bsh
-
激活函数需要保存其输入,占用显存大小为 8bsh
-
第二个线性层需要保存其输入,占用显存大小为 8bsh
-
最后有一个 dropout 操作,需要保存 mask 矩阵,占用显存大小为 bsh
对于 MLP 块,需要保存的中间激活值为 19bsh,另外,self-attention 块和 MLP 块分别对应了一个 layer normalization。
每个 layer norm 需要保存其输入,大小为 2bsh,2 个 layer norm 需要保存的中间激活为 4bsh。
综上,每个 transformer 层需要保存的中间激活占用显存大小为 34bsh+5bs²α。
因此,对于 l 层 transformer 模型,中间激活占用的显存大小可以近似为:(34bsh+5bs²α)*l。
最后,我们用一个实例来验证一下,以 GPT3 为例,我们来计算一下训练一个 GPT3 需要占用多少显存。
GPT3 的参数如下:

GPT3 的模型参数量为 175B,首先是模型参数、梯度和优化器状态的显存占用为 20 Φ bytes,即:

然后来看下中间激活占用的显存大小,GPT3 的序列长度 s 为 2048。
按 batch size 最小的来算,当 b=1 时:

所以总的显存是 350GB + 275GB=625GB。
我们用 Nvidia 的 A100 80GB 来算,需要用 625/80,约等于 8 张 GPU 卡,才能按最小资源把 GPT3 模型训练跑起来。
当 b=64 时:

同样用 A100 80GB 来算,这时候需要用到 17950/80 约 224 张 GPU 卡,可以看到随着批次大小 b 的增大,中间激活占用的显存远远超过了模型参数显存。
通常会采用激活重计算技术来减少中间激活,代价是增加了一次额外前向计算的时间,本质上其实就是“时间换空间”。
相信看到这里,对于其他任何尺寸的大模型,你都可以得心应手的预估所需的资源,也不用盲目抓瞎去试了。
如何学习AI大模型 ?
“最先掌握AI的人,将会比较晚掌握AI的人有竞争优势”。
这句话,放在计算机、互联网、移动互联网的开局时期,都是一样的道理。
我在一线互联网企业工作十余年里,指导过不少同行后辈。帮助很多人得到了学习和成长。
我意识到有很多经验和知识值得分享给大家,故此将并将重要的AI大模型资料。包括AI大模型入门学习思维导图、精品AI大模型学习书籍手册、视频教程、实战学习等录播视频免费分享出来。【保证100%免费】🆓
对于0基础小白入门:
如果你是零基础小白,想快速入门大模型是可以考虑的。
一方面是学习时间相对较短,学习内容更全面更集中。
二方面是可以根据这些资料规划好学习计划和方向。
😝有需要的小伙伴,可以VX扫描下方二维码免费领取🆓
👉1.大模型入门学习思维导图👈
要学习一门新的技术,作为新手一定要先学习成长路线图,方向不对,努力白费。
对于从来没有接触过AI大模型的同学,我们帮你准备了详细的学习成长路线图&学习规划。可以说是最科学最系统的学习路线,大家跟着这个大的方向学习准没问题。(全套教程扫描领取哈)
👉2.AGI大模型配套视频👈
很多朋友都不喜欢晦涩的文字,我也为大家准备了视频教程,每个章节都是当前板块的精华浓缩。

👉3.大模型实际应用报告合集👈
这套包含640份报告的合集,涵盖了AI大模型的理论研究、技术实现、行业应用等多个方面。无论您是科研人员、工程师,还是对AI大模型感兴趣的爱好者,这套报告合集都将为您提供宝贵的信息和启示。(全套教程扫描领取哈)
👉4.大模型落地应用案例PPT👈
光学理论是没用的,要学会跟着一起做,要动手实操,才能将自己的所学运用到实际当中去,这时候可以搞点实战案例来学习。(全套教程扫描领取哈)
👉5.大模型经典学习电子书👈
随着人工智能技术的飞速发展,AI大模型已经成为了当今科技领域的一大热点。这些大型预训练模型,如GPT-3、BERT、XLNet等,以其强大的语言理解和生成能力,正在改变我们对人工智能的认识。 那以下这些PDF籍就是非常不错的学习资源。(全套教程扫描领取哈)

👉6.大模型面试题&答案👈
截至目前大模型已经超过200个,在大模型纵横的时代,不仅大模型技术越来越卷,就连大模型相关的岗位和面试也开始越来越卷了。为了让大家更容易上车大模型算法赛道,我总结了大模型常考的面试题。(全套教程扫描领取哈)
👉学会后的收获:👈
• 基于大模型全栈工程实现(前端、后端、产品经理、设计、数据分析等),通过这门课可获得不同能力;
• 能够利用大模型解决相关实际项目需求: 大数据时代,越来越多的企业和机构需要处理海量数据,利用大模型技术可以更好地处理这些数据,提高数据分析和决策的准确性。因此,掌握大模型应用开发技能,可以让程序员更好地应对实际项目需求;
• 基于大模型和企业数据AI应用开发,实现大模型理论、掌握GPU算力、硬件、LangChain开发框架和项目实战技能, 学会Fine-tuning垂直训练大模型(数据准备、数据蒸馏、大模型部署)一站式掌握;
• 能够完成时下热门大模型垂直领域模型训练能力,提高程序员的编码能力: 大模型应用开发需要掌握机器学习算法、深度学习
这份完整版的 AI 大模型学习资料已经上传CSDN,朋友们如果需要可以微信扫描下方CSDN官方认证二维码免费领取【保证100%免费】
😝有需要的小伙伴,可以Vx扫描下方二维码免费领取🆓
更多推荐


所有评论(0)